AGGIORNAMENTI
Cerca
Attualità
05 Dicembre 2025 - 10:54
Canavese, economia in apnea: tra fragilità e resistenza il 2025 si chiude senza ripresa
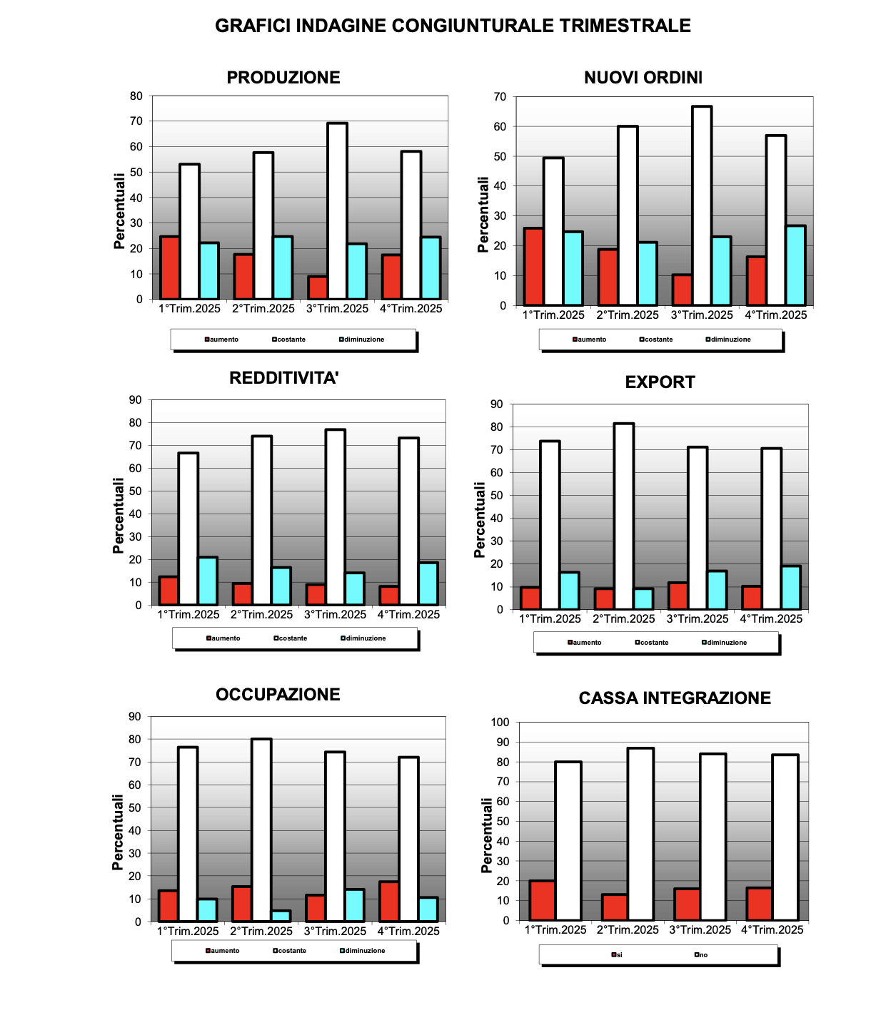
Economia in apnea, nel Canavese. Il dati (freschi di stampa) sul quarto trimestre 2025 non segnano il cambio di passo che molti speravano. L’indagine congiunturale di Confindustria Canavese restituisce infatti un quadro che definire incerto è un eufemismo: qualche timido segnale di ripresa sì, ma la sensazione generale è quella di un territorio che, dopo aver resistito, ora rischia di restare intrappolato in una stagnazione prolungata.
Gli indici di fiducia restano in larga parte negativi. La produzione recupera leggermente (Saldo Ottimisti-Pessimisti -7,0), ma non abbastanza per respirare. Gli ordini totali segnano -10,5, la redditività si ferma anch’essa a -10,5 e l’export scende a -8,8. Insomma, tutto lascia intendere che le imprese stiano combattendo con un mercato asfittico, e che anche chi lavora su commesse estere si trovi a fare i conti con un clima di incertezza diffuso. La spiegazione, ancora una volta, va cercata fuori dai confini locali: le tensioni sui dazi imposti dagli Stati Uniti, la frenata della transizione automotive, le crisi internazionali e la volatilità dei mercati energetici continuano a mordere.
Nel frattempo, il tessuto produttivo reagisce come può. Crescono le aziende che dichiarano un aumento dell’attività, ma aumentano anche quelle che registrano un calo: segno di un’economia schizofrenica, dove la stabilità è diventata un’eccezione. I servizi, finora locomotiva della tenuta canavesana, iniziano a rallentare, mentre la manifattura resta in difficoltà, penalizzata da costi elevati e margini sempre più sottili.
A rendere il quadro leggermente meno cupo è il dato sull’occupazione, in miglioramento con un saldo di -7,0: un piccolo passo avanti che però non basta a invertire la tendenza. Il ricorso alla cassa integrazione resta alto, al 16,5% delle imprese, e l’utilizzo medio degli impianti cala al 75,15%, quasi due punti sotto la media piemontese.
Sul fronte degli investimenti, le imprese canavesane mostrano prudenza: il 23,5% dichiara piani significativi per i prossimi dodici mesi, mentre quasi la metà (47,1%) prevede solo interventi marginali. È un segnale chiaro: le aziende non si fermano, ma non accelerano. Continuano a muoversi, ma in folle.
Un piccolo spiraglio arriva dal fronte dei prezzi. L’inflazione delle materie prime e dell’energia sembra rallentare, e si riduce al 22,6% la quota di imprese che lamenta ritardi negli incassi. Numeri che, in altri tempi, avrebbero fatto ben sperare, ma che oggi appaiono più come un sollievo momentaneo che come un cambio di tendenza.


Il confronto con il resto del Piemonte non aiuta a sollevare il morale. L’indagine di Confindustria Piemonte e dell’Unione Industriali di Torino mostra un clima di fiducia più solido nel capoluogo e nelle province limitrofe: la produzione torna sopra lo zero (+1,1 a livello regionale, +6,1 a Torino), gli ordini si stabilizzano e l’occupazione cresce (+8,4). Il Canavese, invece, resta indietro. Con un saldo negativo di -7,0 sulla produzione, il territorio paga ancora una volta la sua forte dipendenza dal manifatturiero tradizionale e da settori che stanno subendo trasformazioni profonde, come quello dell’automotive.
Guardando alle altre province, il Canavese non è solo nella difficoltà. Male anche Asti, Alessandria e Biella, tutte con saldi negativi, mentre resistono Novara, Verbania e naturalmente Torino, dove la concentrazione di grandi imprese e poli tecnologici offre una tenuta maggiore.
Il presidente di Confindustria Canavese, Paolo Conta, parla con realismo, ma anche con una punta di orgoglio. «Questa indagine – spiega – restituisce l’immagine di un’economia canavesana che, pur mostrando timidi segnali di ripresa, permane in una condizione di relativa fragilità. Le imprese del nostro territorio possiedono una straordinaria capacità di adattamento, ormai condizione necessaria per affrontare i cambiamenti in corso. Ma non possono farcela da sole. Serve un forte lavoro di squadra per garantire il sostegno necessario ad affrontare l’indispensabile percorso di rafforzamento».
E in effetti, la resilienza è l’unico vero capitale su cui il Canavese può contare. Le imprese si reinventano, i lavoratori resistono, ma la sensazione è che la ripartenza vera non possa arrivare senza politiche industriali più chiare, infrastrutture più moderne e un sostegno concreto all’innovazione. Perché la forza d’animo, da sola, non basta più.
La fotografia di fine anno parla di un’economia che tiene in equilibrio precario la propria sopravvivenza: non crolla, ma non decolla. La locomotiva canavesana continua a muoversi, ma sembra farlo su binari logori, con un motore che arranca e un futuro che dipende, sempre di più, da ciò che accade fuori.
Eppure, in questa terra di fabbriche e laboratori, di innovatori silenziosi e imprenditori testardi, resta una certezza: il Canavese non si arrende. Non lo ha fatto nei momenti peggiori, e non lo farà ora. Ma per rivedere davvero la luce, servirà più di qualche segnale positivo: servirà che qualcuno, a livello regionale e nazionale, si accorga che qui, nel cuore industriale del Piemonte, la ripresa non è un titolo di statistica, ma una necessità vitale.
Edicola digitale
I più letti
Ultimi Video
LA VOCE DEL CANAVESE
Reg. Tribunale di Torino n. 57 del 22/05/2007. Direttore responsabile: Liborio La Mattina. Proprietà LA VOCE SOCIETA’ COOPERATIVA. P.IVA 09594480015. Redazione: via Torino, 47 – 10034 – Chivasso (To). Tel. 0115367550 Cell. 3474431187
La società percepisce i contributi di cui al decreto legislativo 15 maggio 2017, n. 70 e della Legge Regione Piemonte n. 18 del 25/06/2008. Indicazione resa ai sensi della lettera f) del comma 2 dell’articolo 5 del medesimo decreto legislativo
Testi e foto qui pubblicati sono proprietà de LA VOCE DEL CANAVESE tutti i diritti sono riservati. L’utilizzo dei testi e delle foto on line è, senza autorizzazione scritta, vietato (legge 633/1941).
LA VOCE DEL CANAVESE ha aderito tramite la File (Federazione Italiana Liberi Editori) allo IAP – Istituto dell’Autodisciplina Pubblicitaria, accettando il Codice di Autodisciplina della Comunicazione Commerciale.