AGGIORNAMENTI
Cerca
Economia
23 Dicembre 2025 - 14:51
Paolo Conta
Non è una ripresa, ma nemmeno il solito bollettino di cattive notizie. È piuttosto una fotografia di resistenza industriale, di quelle che raccontano un territorio che ha smesso di perdere terreno ma che non ha ancora trovato lo slancio per ripartire davvero. L’Indagine congiunturale di Confindustria Canavese sul primo trimestre 2026 dice questo, senza giri di parole: la discesa si è fermata, ora si guarda avanti con prudenza.
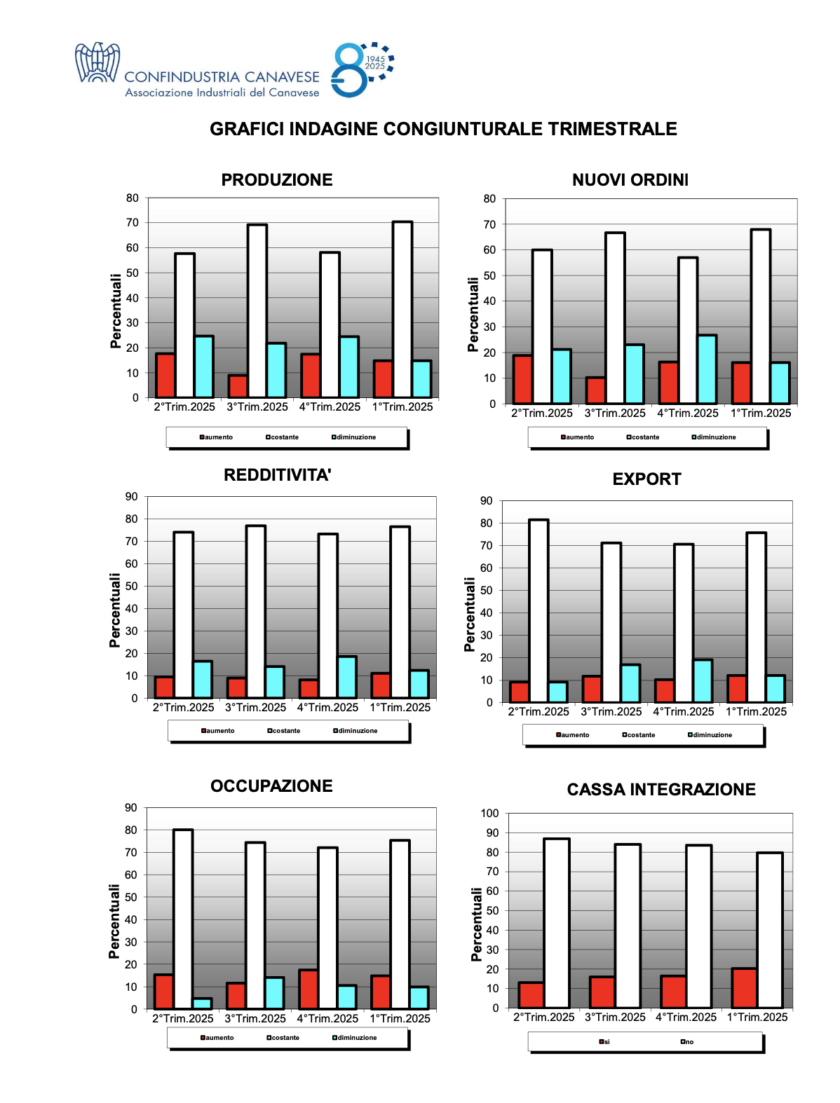
I numeri parlano chiaro, soprattutto se letti insieme ai grafici. Produzione, nuovi ordini ed export tornano in zona di galleggiamento. I Saldi Ottimisti-Pessimisti si attestano attorno allo zero, ma il dato che conta è un altro: crolla il numero delle imprese che prevede un peggioramento. Tradotto: non cresce ancora chi vede aumenti, ma diminuisce chi teme il peggio. E in un territorio industriale come il Canavese, non è poco.

La produzione smette di scendere, gli ordini tornano stabili, l’export mostra segnali di recupero più convincenti rispetto alla media piemontese. I grafici lo rendono evidente: la colonna delle “diminuzioni” si assottiglia trimestre dopo trimestre, mentre cresce l’area della stabilità, segno che molte aziende hanno imparato a navigare in un contesto difficile, adattandosi più che espandendosi.
Il vero tallone d’Achille resta la redditività. Qui il segno meno non sparisce, ma si ridimensiona drasticamente: da -10,5 a -1,2 in un solo trimestre. Non è un dettaglio tecnico, è un segnale politico ed economico: le imprese stanno ancora facendo i conti con costi elevati e margini risicati, ma non sono più in apnea.
La frattura tra settori rimane evidente. I Servizi continuano a fare meglio della Manifattura, con saldi positivi tra +6 e +9 contro valori negativi per le attività produttive. Un divario che racconta un Canavese industriale ancora appesantito dalle crisi strutturali di comparti storici come automotive, mobilità pesante e meccatronica, schiacciati tra transizioni tecnologiche, regole europee in continua evoluzione e mercati internazionali instabili.
Eppure qualcosa si muove. L’export, in particolare, torna a dare segnali incoraggianti: le imprese canavesane guardano fuori dai confini con più fiducia rispetto al resto del Piemonte, tentando di compensare le difficoltà interne con mercati esteri già conosciuti o del tutto nuovi.
Sul fronte del lavoro, il dato è meno scontato di quanto sembri. Le aspettative occupazionali sono positive, con un saldo SOP a +4,9. La manifattura cerca personale, segno che chi produce non ha smesso di programmare. A rallentare sono semmai i servizi. Ma il rovescio della medaglia è la cassa integrazione, che torna a crescere e coinvolge oltre il 20% delle imprese: un campanello d’allarme che nei grafici si vede bene e che racconta una ripresa ancora fragile, a geometria variabile.
Gli investimenti, poi, non esplodono ma resistono. Quasi un’impresa su quattro prevede investimenti significativi, mentre oltre la metà punta su interventi di rinnovo e mantenimento. Non grandi salti in avanti, ma scelte di sopravvivenza intelligente, per restare competitivi in attesa di tempi migliori.
I costi, invece, continuano a mordere. Materie prime, energia, logistica: tre voci che restano pesanti e che spiegano perché la redditività fatichi a tornare positiva. A questo si aggiunge un dato spesso sottovalutato ma cruciale: un quarto delle imprese segnala ritardi negli incassi, un problema che incide direttamente sulla liquidità e sulla capacità di programmare.
In questo quadro si inserisce la lettura politica di Paolo Conta, presidente di Confindustria Canavese, che parla di imprese “pronte a tornare a crescere” ma chiarisce un punto fondamentale: le aziende non possono farcela da sole. Servono regole europee meno ideologiche e più aderenti alla realtà produttiva, incentivi stabili, meno burocrazia e più supporto all’innovazione e alle competenze.
Il dato finale, forse il più onesto, è questo: il Canavese industriale non è in ripresa, ma non è più in caduta libera. Ha smesso di perdere quota, ha imparato a resistere, ora aspetta segnali concreti dalla politica e dai mercati. La fiducia c’è, ma è una fiducia vigile, diffidente, costruita giorno per giorno più nei reparti che nei comunicati.
Insomma: la salita è davanti, ma il motore gira ancora al minimo.
Edicola digitale
I più letti
Ultimi Video
LA VOCE DEL CANAVESE
Reg. Tribunale di Torino n. 57 del 22/05/2007. Direttore responsabile: Liborio La Mattina. Proprietà LA VOCE SOCIETA’ COOPERATIVA. P.IVA 09594480015. Redazione: via Torino, 47 – 10034 – Chivasso (To). Tel. 0115367550 Cell. 3474431187
La società percepisce i contributi di cui al decreto legislativo 15 maggio 2017, n. 70 e della Legge Regione Piemonte n. 18 del 25/06/2008. Indicazione resa ai sensi della lettera f) del comma 2 dell’articolo 5 del medesimo decreto legislativo
Testi e foto qui pubblicati sono proprietà de LA VOCE DEL CANAVESE tutti i diritti sono riservati. L’utilizzo dei testi e delle foto on line è, senza autorizzazione scritta, vietato (legge 633/1941).
LA VOCE DEL CANAVESE ha aderito tramite la File (Federazione Italiana Liberi Editori) allo IAP – Istituto dell’Autodisciplina Pubblicitaria, accettando il Codice di Autodisciplina della Comunicazione Commerciale.