AGGIORNAMENTI
Cerca
Economia
09 Aprile 2026 - 16:32
Paolo Conta, Confindustria Canavese
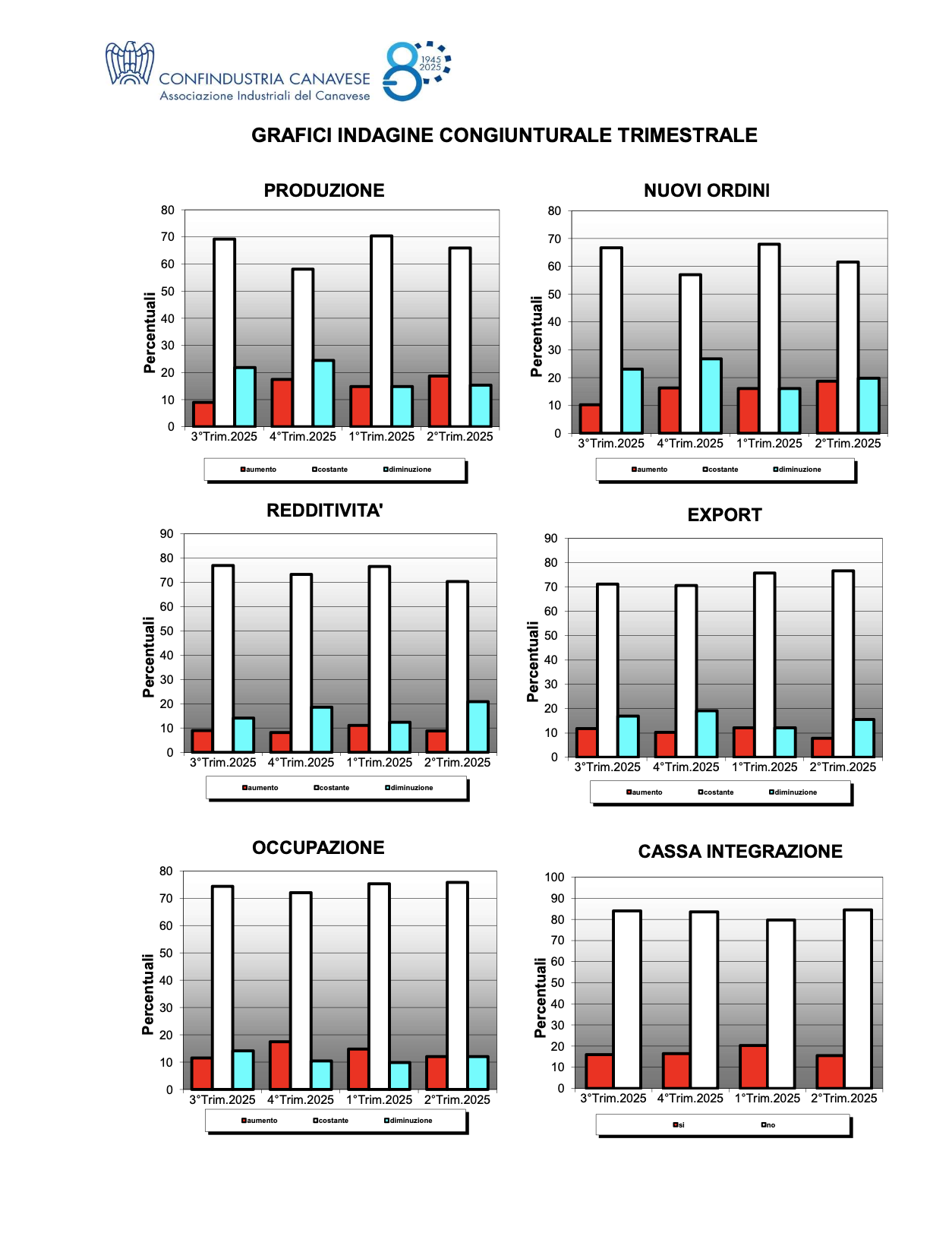
IVREA. La parola chiave è sempre la stessa: “tenuta”. Una di quelle espressioni buone per tutte le stagioni, utili soprattutto quando i numeri non sono abbastanza solidi da parlare di crescita. Ed è proprio quello che accade in Canavese nel secondo trimestre 2026. Dietro una narrazione rassicurante si nasconde un quadro che, a leggerlo bene, racconta tutt’altro.
Perché se è vero che la Produzione segna un timido +3,3, è altrettanto vero che si partiva da zero. E soprattutto che gli Ordini sono già tornati in negativo (-1,1). Un segnale chiaro: si produce ancora, ma si vende meno. E quando succede questo, la “tenuta” diventa semplicemente un modo elegante per dire che si sta tirando a campare.
Ancora più netti i dati su Export (-7,8) e Redditività (-12,1), cioè le due variabili che davvero contano. Qui non c’è spazio per interpretazioni: il sistema perde terreno, e lo perde in modo significativo. Parlare di resilienza, in questo contesto, suona più come un esercizio di stile che come una fotografia fedele della realtà.
E infatti le imprese “mantengono i nervi saldi”, si legge. Traduzione: resistono. Ma resistere non è crescere. E soprattutto non è una strategia sostenibile nel medio periodo, soprattutto con un contesto internazionale che continua a peggiorare e costi che non accennano a rallentare.
Sul lavoro, poi, la situazione è ancora più esplicita. Il saldo occupazionale si ferma a zero. Zero. Dopo un primo trimestre positivo. Significa che il motore si è spento. E il fatto che la cassa integrazione resti al 15,6% delle aziende — nonostante un lieve miglioramento — conferma che la difficoltà è tutt’altro che superata.

Il dualismo tra industria e servizi viene presentato come un elemento fisiologico, ma anche qui la lettura ottimistica scricchiola. I servizi tengono, sì, ma iniziano a rallentare sull’occupazione (-6,9). L’industria prova a recuperare su questo fronte (+3,2), ma resta complessivamente in affanno. Non c’è un settore forte: ci sono comparti che, a turno, cercano di non affondare.
E il confronto con il resto del Piemonte non aiuta: il Canavese sta sotto la media quasi ovunque. L’unica “consolazione” è un export meno negativo degli altri. Una magra soddisfazione, se si considera che resta comunque in perdita.
Sugli investimenti si prova a inserire un segnale di fiducia, ma anche qui il dato va letto senza paraocchi: crescono quelli “significativi”, ma calano quelli marginali. Tradotto: si investe solo quando strettamente necessario, spesso spinti dagli incentivi pubblici. Più che fiducia, sembra prudenza forzata.
Il vero macigno, però, è quello dei costi. E qui i numeri non lasciano spazio a interpretazioni: energia in aumento per l’89,3% delle imprese, logistica per il 77,9%, materie prime per il 73,6%. Non è una criticità: è una morsa. Una pressione costante che erode i margini e spiega perfettamente quel -12,1 sulla redditività che nel comunicato si prova quasi a mettere in secondo piano.
Anche la liquidità non è così tranquilla come si vorrebbe far credere: il 25,8% delle aziende segnala ritardi nei pagamenti. Più di una su quattro. Un dato pesante, soprattutto perché concentrato nei servizi, cioè proprio nel settore che dovrebbe garantire stabilità.
Il grado di utilizzo degli impianti si ferma al 76,3%. Un numero discreto, certo, ma lontano da livelli di piena attività. Anche qui: si lavora, ma senza spinta.
E allora viene da chiedersi quanto regga questa narrazione della “resilienza”. Perché se è vero che il sistema non crolla, è altrettanto evidente che non cresce. E soprattutto che si muove in un equilibrio sempre più fragile.
Lo ammette, tra le righe, anche Paolo Conta, presidente di Confindustria Canavese, che parla di stabilità ma riconosce il peso crescente dei costi energetici e delle tensioni geopolitiche sulla redditività. Un’ammissione importante, che però stride con il tono complessivamente rassicurante del comunicato.
La verità è più semplice, e meno comoda: il Canavese non sta correndo. Sta resistendo. E continuare a raccontare questa resistenza come un segnale positivo rischia di trasformarsi in un alibi. Perché i numeri, quelli veri, dicono che le crepe ci sono. E stanno diventando sempre più difficili da nascondere.
Edicola digitale
I più letti
Ultimi Video
LA VOCE DEL CANAVESE
Reg. Tribunale di Torino n. 57 del 22/05/2007. Direttore responsabile: Liborio La Mattina. Proprietà LA VOCE SOCIETA’ COOPERATIVA. P.IVA 09594480015. Redazione: via Torino, 47 – 10034 – Chivasso (To). Tel. 0115367550 Cell. 3474431187
La società percepisce i contributi di cui al decreto legislativo 15 maggio 2017, n. 70 e della Legge Regione Piemonte n. 18 del 25/06/2008. Indicazione resa ai sensi della lettera f) del comma 2 dell’articolo 5 del medesimo decreto legislativo
Testi e foto qui pubblicati sono proprietà de LA VOCE DEL CANAVESE tutti i diritti sono riservati. L’utilizzo dei testi e delle foto on line è, senza autorizzazione scritta, vietato (legge 633/1941).
LA VOCE DEL CANAVESE ha aderito tramite la File (Federazione Italiana Liberi Editori) allo IAP – Istituto dell’Autodisciplina Pubblicitaria, accettando il Codice di Autodisciplina della Comunicazione Commerciale.